【深度学习入门】- 用电路思想解释感知机
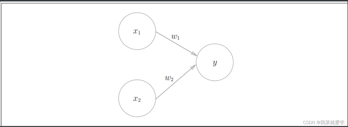
1 感知机是什么 感知机接收多个输入信号,输出一个信号。感知机信号只有“流/不流(0/1)"两种取值。0对应“不传递信号”,1对应“传递信号” 如下:是一个接收两个输入信号的感知机例子。x1,x2是输入信号,y是输出信号,w1、w2是权重。O为神经元或者节点。输入信号被送往神经元时,会被分布乘以相对的权重(权重越大,对该权重的信号越重要)。然后神经元计算传送过来的总和,当总和超过...
[深度学习入门]基于Python的理论与实现[感知机、神经网络、误差反向传播法及相关技巧](二)
第四章:神经网络的学习 通常要解决某个问题时,人们习惯以自己的经验和直觉来分析问题找出规律,然后反复试验推进。 “学习”是指从训练数据中自动获取最优权重参数的过程。 机器学习在前期收集问题的各项特征数据,用模型从数据中发现答案,争取避免人为介入。 深度学习在数据收集上(比如选/不选哪些特征的数据)较之机器学习更能避免人为介入。神经网络的学习目标是寻....
[深度学习入门]基于Python的理论与实现[感知机、神经网络、误差反向传播法及相关技巧](一)
一、前言 本文是本人在认真学习完[日]斋藤康毅所著《深度学习入门-基于Python的理论与实现》(因为封面上有条鱼,以下皆用《鱼书》代称之)后的学习心得与体会。至于为什么要把写成文字记录下来呢,一是为了我后续的学习方便快速地回忆之前的知识点,一是为了给同样在学习这本《鱼书》的朋友们提供一些帮助。二、概述 该书一共包含八个章节,暂且把它分成三大部分,分别涉及到: ...
深度学习入门(1)感知机
感知机感知机基础知识感知机是神经网络(深度学习)的起源算法。感知机可以接收多个输入信息,输出一个信号。感知机的信号只有“流/不流”(1/0)两种取值。接收两个信号的感知机,如下图:x1与x2是输入信号;y是输出信号;w1与w2是权重。圆圈O代表”神经元”或者”节点”。输入信号被送往神经元时,会被分别乘以固定的权重(w1 x1, w2 x2)。神经元会计算传送过来的信号总和,只有当这个总和超过某个....
本页面内关键词为智能算法引擎基于机器学习所生成,如有任何问题,可在页面下方点击"联系我们"与我们沟通。
深度学习入门相关内容
- 深度学习入门构建网络
- 深度学习神经网络入门
- 入门深度学习
- 深度学习入门概述
- 深度学习入门实践
- 深度学习入门案例
- 深度学习入门图像
- 深度学习入门卷积
- 深度学习入门cnn
- 深度学习入门分类
- 深度学习入门反向传播
- 深度学习卷积入门
- 深度学习入门场景
- keras深度学习入门
- 深度学习入门keras
- 深度学习入门概念
- 入门人工智能深度学习
- 深度学习入门numpy
- 深度学习入门学习
- 深度学习入门集合
- 深度学习入门序列
- 深度学习入门pytorch
- 深度学习入门笔记
- 深度学习入门数字识别
- 深度学习入门笔记手写数字识别
- 深度学习入门实例
- 深度学习入门rnn
- 深度学习入门计算
- 深度学习入门卷积计算
- 深度学习入门通道
深度学习更多入门相关
智能引擎技术
AI Online Serving,阿里巴巴集团搜推广算法与工程技术的大本营,大数据深度学习时代的创新主场。
+关注