基于SpringBoot+Vue的疗养院管理系统的设计与实现(源码+部署说明+演示视频+源码介绍)
第1章绪论 1.1选题动因 当前的网络技术,软件技术等都具备成熟的理论基础,市场上也出现各种技术开发的软件,这些软件都被用于各个领域,包括生活和工作的领域。随着电脑和笔记本的广泛运用,以及各种计算机硬件的完善和升级,市面上的电脑和笔记本的性能都得到提升,可以支持的软件也逐渐增多,因此,在计算机上安装软件来发挥其高效地信息处理的作用,则很受人们的青睐。对于疗养院管理系统信息来讲,通...
基于SpringBoot+Vue的商业辅助决策系统的设计与实现(源码+部署说明+演示视频+源码介绍)(3)
基于SpringBoot+Vue的商业辅助决策系统的设计与实现(源码+部署说明+演示视频+源码介绍)(2)https://developer.aliyun.com/article/1558464 第5章 系统实现 编程人员在搭建的开发环境中,会让各种编程技术一起呈现出最终效果。本节就展示关键部分的页面效果。 5.1 管理员功能实现 5.1.1 公告管理 ...
基于SpringBoot+Vue的商业辅助决策系统的设计与实现(源码+部署说明+演示视频+源码介绍)(2)
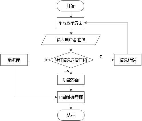
基于SpringBoot+Vue的商业辅助决策系统的设计与实现(源码+部署说明+演示视频+源码介绍)(1)https://developer.aliyun.com/article/1558463 第4章 系统设计 用户对着浏览器操作,肯定会出现某些不可预料的问题,但是不代表着系统对于用户在浏览器上的操作不进行处理,所以说,要提前考虑可能会出现的问题。 4.1 系...
基于SpringBoot+Vue的商业辅助决策系统的设计与实现(源码+部署说明+演示视频+源码介绍)(1)
第1章绪论 1.1 课题背景 二十一世纪互联网的出现,改变了几千年以来人们的生活,不仅仅是生活物资的丰富,还有精神层次的丰富。在互联网诞生之前,地域位置往往是人们思想上不可跨域的鸿沟,信息的传播速度极慢,信息处理的速度和要求还是通过人们骑马或者是信鸽传递,这些信息传递都是不可控制的,中间很有可能丢失,信息的传递水平决定了人们生活的水平。如今大家都在使用互联网软件产品,从内部管理设...
基于SpringBoot+Vue的个人云盘管理系统的设计与实现(源码+部署说明+演示视频+源码介绍)(2)
基于SpringBoot+Vue的个人云盘管理系统的设计与实现(源码+部署说明+演示视频+源码介绍)(1)https://developer.aliyun.com/article/1558452 4.3.2 数据库物理设计 作为程序后台的支持,本数据库也需要设计数据存储的结构。而数据存储结构的设计就包括了数据表结构的设计和创建。数据表结构包括了字段,数据类型,还有字段的...
基于SpringBoot+Vue的个人云盘管理系统的设计与实现(源码+部署说明+演示视频+源码介绍)(1)
第1章绪论 1.1选题动因 当前的网络技术,软件技术等都具备成熟的理论基础,市场上也出现各种技术开发的软件,这些软件都被用于各个领域,包括生活和工作的领域。随着电脑和笔记本的广泛运用,以及各种计算机硬件的完善和升级,市面上的电脑和笔记本的性能都得到提升,可以支持的软件也逐渐增多,因此,在计算机上安装软件来发挥其高效地信息处理的作用,则很受人们的青睐。对于个人云盘管理系统信息来讲,...
基于SpringBoot+Vue的社团管理系统的设计与实现(源码+部署说明+演示视频+源码介绍)(2)
基于SpringBoot+Vue的社团管理系统的设计与实现(源码+部署说明+演示视频+源码介绍)(1)https://developer.aliyun.com/article/1558441 4.3.2 数据库物理设计 本数据库是关系型数据库,因此对二维表的结构设计也比较关键。毕竟二维表格模型就是关系型数据库中的关系模型。而一些常用的关系模型中的概念也需要了解,才可以对...
本页面内关键词为智能算法引擎基于机器学习所生成,如有任何问题,可在页面下方点击"联系我们"与我们沟通。
Spring Boot部署相关内容
- 部署Spring Boot服务
- 部署Spring Boot
- 服务器部署Spring Boot
- Spring Boot框架部署
- Spring Boot技术部署
- Spring Boot前端部署
- Spring Boot打包部署
- Spring Boot大学生就业平台源码部署
- Spring Boot科普平台部署
- Spring Boot测试部署
- Spring Boot就业系统部署
- Spring Boot vue系统设计部署
- Spring Boot推荐系统部署
- Spring Boot vue平台部署
- Spring Boot高校源码部署
- Spring Boot系统设计部署
- Spring Boot大学生部署
- Spring Boot大学生就业部署
- Spring Boot平台源码部署
- Spring Boot高校部署
- Spring Boot数据库部署
- Spring Boot服务部署
- Spring Boot工程部署
- Spring Boot应用程序部署
- docker Spring Boot部署
- Spring Boot部署war
- Spring Boot包部署
- Spring Boot war部署
- Spring Boot war包部署
- 微服务Spring Boot部署
Spring Boot更多部署相关
- 函数计算部署Spring Boot项目
- 函数计算部署Spring Boot
- 部署Spring Boot文件
- 部署监控Spring Boot
- 部署运行Spring Boot应用
- Spring Boot打包部署流程
- Spring Boot构建部署
- Spring Boot程序部署
- Spring Boot微服务部署
- Spring Boot uniapp部署
- Spring Boot js部署
- Spring Boot uniapp文章部署视频讲解
- Spring Boot文章部署
- Spring Boot js部署视频讲解
- Spring Boot js文章源码部署
- Spring Boot js文章部署视频讲解
- Spring Boot uniapp部署视频讲解
- Spring Boot uniapp源码部署视频讲解
- Spring Boot vue.js文章源码部署
- Spring Boot lw部署
- Spring Boot vue.js uniapp源码部署视频
- Spring Boot js管理系统源码部署视频讲解
- Spring Boot uniapp管理系统源码部署视频讲解
- Spring Boot vue.js管理系统源码部署视频讲解
- Spring Boot管理系统文章部署
- Spring Boot uniapp平台源码部署
- Spring Boot vue管理系统源码部署
- Spring Boot js小程序系统部署视频讲解
- Spring Boot vue管理系统源码lw部署
- Spring Boot管理系统源码部署视频
Spring Boot您可能感兴趣
- Spring Boot support
- Spring Boot err
- Spring Boot cluster
- Spring Boot连接
- Spring Boot内存
- Spring Boot兼职
- Spring Boot系统
- Spring Boot校车
- Spring Boot流程管理
- Spring Boot预定
- Spring Boot源码
- Spring Boot uniapp
- Spring Boot详细设计
- Spring Boot lw
- Spring Boot管理系统
- Spring Boot部署文档
- Spring Boot附带
- Spring Boot文章
- Spring Boot js
- Spring Boot vue.js
- Spring Boot小程序
- Spring Boot视频
- Spring Boot spring
- Spring Boot视频讲解
- Spring Boot源代码
- Spring Boot微信小程序
- Spring Boot数据库
- Spring Boot ppt
- Spring Boot实现
- Spring Boot代码设计
微服务
构建可靠、高效、易扩展的技术基石
+关注