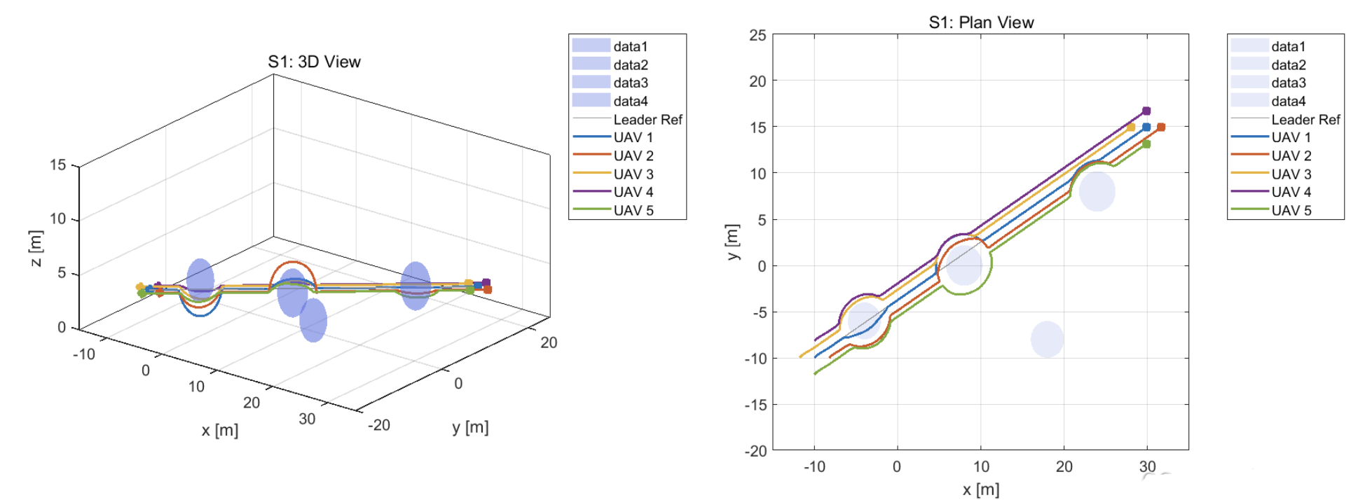
【无人机协同】动态环境下多无人机系统的协同路径规划与防撞研究(Matlab代码实现)
欢迎来到本博客❤️❤️ 博主优势:博客内容尽量做到思维缜密,逻辑清晰,为了方便读者。 ⛳️座右铭:行百里者,半于九十。 本文内容如下: ⛳️赠与读者 做科研,涉及到一个深在的思想系统,需要科研者逻辑缜密,踏实认真,但是不能只是努力,很多时候借力比努力更重要,然后还要有仰望星空的创新点和启发点。建议读者按...
【无人机】无人机群在三维环境中的碰撞和静态避障仿真(Matlab代码实现)
欢迎来到本博客❤️❤️ 博主优势:博客内容尽量做到思维缜密,逻辑清晰,为了方便读者。 ⛳️座右铭:行百里者,半于九十。 1 概述 无人机群在三维环境中的碰撞与静态避障研究 无人机群在三维环境中的碰撞和静态避障仿真旨在模拟多架无人机在复杂的三维空间中安全飞行的情景。这种仿真涉及到多个方面,包括无人机的动力学行为、环境地形的...
【无人机三维路径规划】基于遗传算法GA结合粒子群算法PSO无人机复杂环境避障三维路径规划(含GA和PSO对比)研究(Matlab代码代码实现)
欢迎来到本博客❤️❤️ 博主优势:博客内容尽量做到思维缜密,逻辑清晰,为了方便读者。 ⛳️座右铭:行百里者,半于九十。 1 概述 基于改进粒子群算法的无人机路径规划研究:与遗传算法、粒子群算法的比较分析 一、算法基本原理与特性 粒子群算法(PSO) ...
【无人机协同】动态环境下多无人机系统的协同路径规划与防撞研究(Matlab代码实现)
欢迎来到本博客❤️❤️ 博主优势:博客内容尽量做到思维缜密,逻辑清晰,为了方便读者。 ⛳️座右铭:行百里者,半于九十。 本文内容如下: ⛳️赠与读者 做科研,涉及到一个深在的思想系统,需要科研者逻辑缜密,踏实认真,但是不能只是努力,很多时候借力比努力更重要,然后还要有仰望星空的创新点和启发点。建议读者按...
【无人机控制】基于RRT算法实现无人机系统在充满障碍物的环境避碰控制附matlab代码
✅作者简介:热爱科研的Matlab仿真开发者,修心和技术同步精进,matlab项目合作可私信。个人主页:Matlab科研工作室个人信条:格物致知。更多Matlab仿真内容点击智能优化算法 神经网络预测 雷达通信 无线传感器 &...
【无人机】基于蚁群算法实现危险环境下无人机航迹任务规划附matlab代码
✅作者简介:热爱科研的Matlab仿真开发者,修心和技术同步精进,matlab项目合作可私信。个人主页:Matlab科研工作室个人信条:格物致知。更多Matlab仿真内容点击智能优化算法 神经网络预测雷达通信 无线传感器信号处理图像处理路径规划元胞自动机无人机⛄ 内容介绍随着计算机、通信、控制与传感器技术的发展,无人机技术得到长足发展并取得巨大的进步。无人机利用自身优势,....
本页面内关键词为智能算法引擎基于机器学习所生成,如有任何问题,可在页面下方点击"联系我们"与我们沟通。
MATLAB代码相关内容
- ofdm通信MATLAB代码
- 信道研究MATLAB代码
- 图像处理技术MATLAB代码
- 图像颜色MATLAB代码
- 图像融合研究MATLAB代码
- 颜色MATLAB代码
- 声学MATLAB代码
- ofdm MATLAB代码
- 图像处理图像MATLAB代码
- sift MATLAB代码
- 图像技术MATLAB代码
- 图像研究MATLAB代码
- 技术MATLAB代码
- 图像处理MATLAB代码
- 融合MATLAB代码
- 信道MATLAB代码
- 通信MATLAB代码
- 研究MATLAB代码
- 局部MATLAB代码
- 图像融合MATLAB代码
- 图像MATLAB代码
- 概率神经网络MATLAB代码
- 协同研究MATLAB代码
- 灰度图像MATLAB代码
- 大规模电动汽车MATLAB代码
- 变量时序研究MATLAB代码
- 优化决策MATLAB代码
- 变量研究MATLAB代码
- 电动汽车优化研究MATLAB代码
- 航迹起始MATLAB代码
MATLAB更多代码相关
- 无人机协同路径规划研究MATLAB代码
- 变换二维MATLAB代码
- 无人机协同MATLAB代码
- 分类变压器故障诊断MATLAB代码
- 目标调度策略研究MATLAB代码
- 复现储能系统MATLAB代码
- 单步MATLAB代码
- 削峰填谷目标MATLAB代码
- 灰度MATLAB代码
- ei MATLAB代码
- 优化MATLAB代码
- 算法优化MATLAB代码
- 优化算法MATLAB代码
- 路径规划MATLAB代码
- 网络MATLAB代码
- 调度MATLAB代码
- 系统MATLAB代码
- 粒子群MATLAB代码
- 神经网络MATLAB代码
- 算法研究MATLAB代码
- 实现MATLAB代码
- 遗传算法MATLAB代码
- 无人机MATLAB代码
- 机器人MATLAB代码
- 目标MATLAB代码
- 粒子群算法MATLAB代码
- 数据MATLAB代码
- 优化研究MATLAB代码
- 方法MATLAB代码
- 优化调度MATLAB代码
MATLAB您可能感兴趣
DataWorks
DataWorks基于MaxCompute/Hologres/EMR/CDP等大数据引擎,为数据仓库/数据湖/湖仓一体等解决方案提供统一的全链路大数据开发治理平台。作为阿里巴巴数据中台的建设者,DataWorks从2009年起不断沉淀阿里巴巴大数据建设方法论,同时与数万名政务/金融/零售/互联网/能源/制造等客户携手,助力产业数字化升级。
+关注