【LeetCode 热题100】深入理解二叉树结构变化与路径特性(力扣104 / 226 / 114 / 543)(Go语言版)
🌲 深入理解二叉树结构变化与路径特性(力扣104 / 226 / 114 / 543) 在解题过程中,我们不仅要掌握二叉树的遍历方法,还需要理解它的结构特性。本篇博客将围绕二叉树的 深度计算、结构变换与路径分析 展开,涉及以下四道高频题: [x] 104. 二叉树的最大深度[x] 226. 翻转二...
【LeetCode 34】257.二叉树的所有路径
一、题意 二、思考过程 这道题涉及到两个概念: 路径 回溯 需要用到的是 前序遍历,通过前序遍历,父节点到叶子节点之后形成路径,将每一条路径转换为串并存到结果集中result中,回溯以后再次重复形成其他路径,进入其他路径,path短暂存放...
【Leetcode刷题Python】257. 二叉树的所有路径
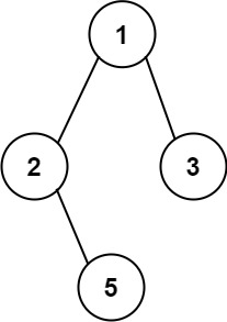
1 题目 给你一个二叉树的根节点 root ,按 任意顺序 ,返回所有从根节点到叶子节点的路径。 叶子节点 是指没有子节点的节点。 示例 1: 输入:root = [1,2,3,null,5]输出:[“1->2->5”,“1->3”] 示例 2: 输入:root &#...
leetcode代码记录(二叉树的所有路径
1. 题目: 给你一个二叉树的根节点 root ,按 任意顺序 ,返回所有从根节点到叶子节点的路径。 叶子节点 是指没有子节点的节点。 示例 1: 输入:root = [1,2,3,nul...
leetcode热题100.二叉树中的最大路径和
题目 二叉树中的 路径 被定义为一条节点序列,序列中每对相邻节点之间都存在一条边。同一个节点在一条路径序列中 至多出现一次 。该路径 至少包含一个 节点,且不一定经过根节点。 路径和 是路径中各节点值的总和。 给你一个二叉树的根节点 root ,返回其 最大路径和 。 示例 1: ...
leetcode-124. 二叉树中的最大路径和
题目题目链接路径 被定义为一条从树中任意节点出发,沿父节点-子节点连接,达到任意节点的序列。同一个节点在一条路径序列中 至多出现一次 。该路径 至少包含一个 节点,且不一定经过根节点。路径和 是路径中各节点值的总和。给你一个二叉树的根节点 root ,返回其 最大路径和 。示例 1:输入:root = [1,2,3] 输出:6 解释:最优路径是 2 -> 1 -> 3 ,路径和为 2....
golang力扣leetcode 124. 二叉树中的最大路径和
题解思路,递归,大问题分解成小问题递归三件套:递归结束条件是什么大问题分解成小问题每次递归给上次返回什么代码package main import "math" type TreeNode struct { Val int Left *TreeNode Right *TreeNode } func maxPathSum(root *TreeNode) int { maxSu...
leetcode-257:二叉树的所有路径
题目题目链接给你一个二叉树的根节点 root ,按 任意顺序 ,返回所有从根节点到叶子节点的路径。叶子节点 是指没有子节点的节点。示例 1:输入:root = [1,2,3,null,5] 输出:["1->2->5","1->3"]示例 2:输入:root = [1] 输出:["1"]解答方法一:层序遍历# Definition for a binary tree node. ....
LeetCode刷题Day15——二叉树(树左下角的值、路径和、树的构造、最大二叉树、合并二叉树)
一、找树左下角的值题目链接:513. 找树左下角的值/** * <pre> * 1.广搜,每一层遍历,找到最左边的节点记录下值 * 2.深搜,找到最深的一层就将结果记录下来,先遍历的是左节点,所以右节点如果同样高度则不会覆盖掉左节点的值,保证了最终找到的是最左边的节点 * </pre> * * @author <a href="https://githu...
LeetCode刷题Day14——二叉树(完全二叉树、平衡二叉树、二叉树路径、左叶子之和)
一、完全二叉树的节点个数题目链接:222. 完全二叉树的节点个数/** * <pre> * 1.二分查找+位运算 * 2.递归:如果子树是完全二叉树则直接返回子树的节点数,如果不是完全二叉树则继续判断其左右子树 * </pre> * * @author <a href="https://github.com/Ken-Chy129">Ken-Chy1...
本页面内关键词为智能算法引擎基于机器学习所生成,如有任何问题,可在页面下方点击"联系我们"与我们沟通。
LeetCode路径相关内容
- 路径LeetCode
- LeetCode路径相交
- LeetCode矩阵路径
- LeetCode三角形路径
- LeetCode题目算法实现路径
- LeetCode下降路径
- LeetCode矩阵递增路径
- LeetCode递增路径
- LeetCode网格路径
- LeetCode路径叶子
- 算法训练LeetCode路径
- LeetCode contest路径
- LeetCode面试题路径
- LeetCode路径dp
- LeetCode剑指offer路径dfs
- 路飞LeetCode路径
- LeetCode longest path路径
- LeetCode训练场路径
- LeetCode lintcode路径
- LeetCode path路径
- LeetCode sum路径
- LeetCode minimum path sum路径
- LeetCode paths路径
LeetCode您可能感兴趣
- LeetCode实战
- LeetCode解析
- LeetCode c++
- LeetCode橘子
- LeetCode go语言
- LeetCode回溯
- LeetCode岛屿
- LeetCode乘积
- LeetCode力扣
- LeetCode括号
- LeetCode刷题
- LeetCode算法
- LeetCode链表
- LeetCode数组
- LeetCode二叉树
- LeetCode字符串
- LeetCode python
- LeetCode元素
- LeetCode java
- LeetCode offer
- LeetCode面试
- LeetCode代码
- LeetCode单词
- LeetCode排序
- LeetCode tree
- LeetCode算法解析
- LeetCode栈
- LeetCode有序数组
- LeetCode节点
- LeetCode golang
算法编程
开发者社区在线编程频道官方技术圈。包含算法资源更新,周赛动态,每日一题互动。
+关注