文章 2024-05-30 来自:开发者社区

链表(Linked List)详解

链表概述 链表是一种常见的数据结构,它允许我们在内存中动态地分配元素。与数组不同,链表中的元素在内存中并不是连续存放的,而是通过指针或引用来连接。链表中的每一个元素都称为一个节点(Node),节点包含两部分信息:一部分是存储的数据元素(data),另一部分是指向下一个节点的指针(next)。 链表有很多种类,如单向链表、双向链表、循环链表等。这里我们以单向链表为例进行说明。 ...

文章 2023-01-07 来自:开发者社区

LeetCode 141. 环形链表 Linked List Cycle

LeetCode 141. 环形链表 Linked List CycleTable of Contents一、中文版二、英文版三、My answer四、解题报告一、中文版给定一个链表,判断链表中是否有环。为了表示给定链表中的环,我们使用整数 pos 来表示链表尾连接到链表中的位置(索引从 0 开始)。 如果 pos 是 -1,则在该链表中没有环。 示例 1:输入:head = [3,2....

LeetCode 141. 环形链表 Linked List Cycle
文章 2023-01-07 来自:开发者社区

LeetCode 234. 回文链表 Palindrome Linked List

LeetCode 234. 回文链表 Palindrome Linked ListTable of Contents一、中文版二、英文版三、My answer四、解题报告一、中文版请判断一个链表是否为回文链表。示例 1:输入: 1->2输出: false示例 2:输入: 1->2->2->1输出: true进阶:你能否用 O(n) 时间复杂度和 O(1) 空间复杂度解决此....

文章 2023-01-07 来自:开发者社区

LeetCode 237. 删除链表中的节点 Delete Node in a Linked List

LeetCode 237. 删除链表中的节点 Delete Node in a Linked ListTable of Contents一、中文版二、英文版三、My answer四、解题报告一、中文版请编写一个函数,使其可以删除某个链表中给定的(非末尾)节点,你将只被给定要求被删除的节点。现有一个链表 -- head = [4,5,1,9],它可以表示为:示例 1:输入: head = [4,5....

LeetCode 237. 删除链表中的节点 Delete Node in a Linked List
文章 2019-07-24 来自:开发者社区

LeetCode 234:回文链表 Palindrome Linked List

​请判断一个链表是否为回文链表。 Given a singly linked list, determine if it is a palindrome. 示例 1: 输入: 1->2 输出: false 示例 2: 输入: 1->2->2->1 输出: true 进阶:你能否用 O(n) 时间复杂度和 O(1) 空间复杂度解决此题? Follow up:Could yo....

文章 2019-07-20 来自:开发者社区

LeetCode 328:奇偶链表 Odd Even Linked List

​给定一个单链表,把所有的奇数节点和偶数节点分别排在一起。请注意,这里的奇数节点和偶数节点指的是节点编号的奇偶性,而不是节点的值的奇偶性。 请尝试使用原地算法完成。你的算法的空间复杂度应为 O(1),时间复杂度应为 O(nodes),nodes 为节点总数。 Given a singly linked list, group all odd nodes together followed by ....

文章 2019-07-19 来自:开发者社区

LeetCode 160: 相交链表 Intersection of Two Linked Lists

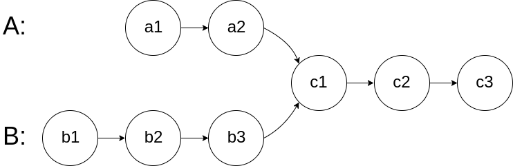
爱写Bug(ID:iCodeBugs) 编写一个程序,找到两个单链表相交的起始节点。 Write a program to find the node at which the intersection of two singly linked lists begins. 如下面的两个链表: 在节点 c1 开始相交。 示例 1: 输入:intersectVal = 8, listA = [4...

LeetCode 160: 相交链表 Intersection of Two Linked Lists
文章 2019-07-17 来自:开发者社区

LeetCode 142:环形链表 II Linked List Cycle II

给定一个链表,返回链表开始入环的第一个节点。 如果链表无环,则返回 null。 为了表示给定链表中的环,我们使用整数 pos 来表示链表尾连接到链表中的位置(索引从 0 开始)。 如果 pos 是 -1,则在该链表中没有环。 说明:不允许修改给定的链表。 Given a linked list, return the node where the cycle begins. If there i....

LeetCode 142:环形链表 II Linked List Cycle II
文章 2019-07-16 来自:开发者社区

LeetCode 141:环形链表 Linked List Cycle

给定一个链表,判断链表中是否有环。 为了表示给定链表中的环,我们使用整数 pos 来表示链表尾连接到链表中的位置(索引从 0 开始)。 如果 pos 是 -1,则在该链表中没有环。 Given a linked list, determine if it has a cycle in it. To represent a cycle in the given linked list, we us....

LeetCode 141:环形链表 Linked List Cycle
文章 2019-07-14 来自:开发者社区

LeetCode 707:设计链表 Design Linked List

爱写bug (ID:iCodeBugs) 设计链表的实现。您可以选择使用单链表或双链表。单链表中的节点应该具有两个属性:val 和 next。val 是当前节点的值,next 是指向下一个节点的指针/引用。如果要使用双向链表,则还需要一个属性 prev 以指示链表中的上一个节点。假设链表中的所有节点都是 0-index 的。 在链表类中实现这些功能: get(index):获取链表中第 ind.....

LeetCode 707:设计链表 Design Linked List

本页面内关键词为智能算法引擎基于机器学习所生成,如有任何问题,可在页面下方点击"联系我们"与我们沟通。

数据库

分享数据库前沿,解构实战干货,推动数据库技术变革

+关注