文章 2025-09-30 来自:开发者社区

【微电网调度】考虑需求响应的基于改进多目标灰狼算法的微电网优化调度研究(Matlab代码实现)

欢迎来到本博客❤️❤️ 博主优势:博客内容尽量做到思维缜密,逻辑清晰,为了方便读者。 ⛳️座右铭:行百里者,半于九十。 1 概述 如今,多目标优化技术广泛应用于:机械工程、土木工程和化工等研究领域。早期的多目标随机优 化算法多为单目标优化算法转化而来,例如:SPEA[7]、NSGA-Ⅱ[8]、MOPSO[9]和 MOEA/D[10]等应用广泛...

【微电网调度】考虑需求响应的基于改进多目标灰狼算法的微电网优化调度研究(Matlab代码实现)
文章 2025-09-25 来自:开发者社区

【微电网多目标优化调度】多目标学习者行为优化算法MOLPB求解微电网多目标优化调度研究(Matlab代码实现)

  欢迎来到本博客❤️❤️ 博主优势:博客内容尽量做到思维缜密,逻辑清晰,为了方便读者。 ⛳️座右铭:行百里者,半于九十。 本文内容如下: ⛳️赠与读者 ‍做科研,涉及到一个深在的思想系统,需要科研者逻辑缜密,踏实认真,但是不能只是努力,很多时候借力比努力更重要,然后还要有仰望星空的创新点和启发点。建议读者按...

【微电网多目标优化调度】多目标学习者行为优化算法MOLPB求解微电网多目标优化调度研究(Matlab代码实现)
文章 2025-09-25 来自:开发者社区

【柔性作业车间调度】基于四种多目标优化算法(NSOOA、NSPSO、NSDBO、NSCOA)求解柔性作业车间调度问题FJSP研究(Matlab代码实现)

  欢迎来到本博客❤️❤️ 博主优势:博客内容尽量做到思维缜密,逻辑清晰,为了方便读者。 ⛳️座右铭:行百里者,半于九十。 本文内容如下: ⛳️赠与读者 ‍做科研,涉及到一个深在的思想系统,需要科研者逻辑缜密,踏实认真,但是不能只是努力,很多时候借力比努力更重要,然后还要有仰望星空的创新点和启发点。建议读者按...

【柔性作业车间调度】基于四种多目标优化算法(NSOOA、NSPSO、NSDBO、NSCOA)求解柔性作业车间调度问题FJSP研究(Matlab代码实现)
文章 2025-09-13 来自:开发者社区

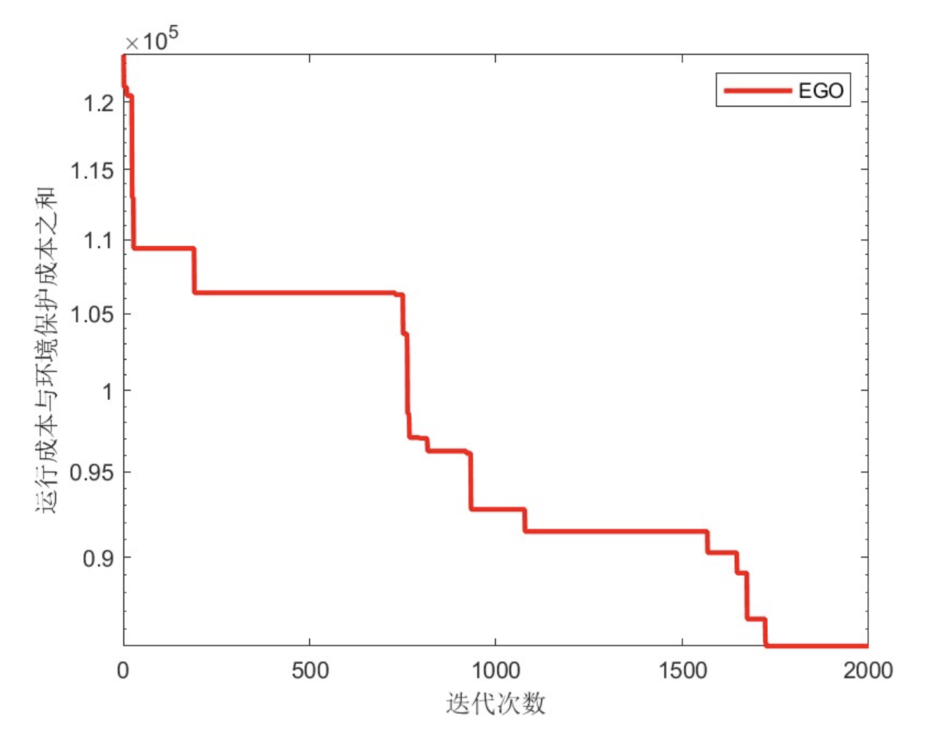
【微电网优化调度】基于鳗鱼和石斑鱼优化算法(EGO)的微电网优化调度研究(Matlab代码实现)

  欢迎来到本博客❤️❤️ 博主优势:博客内容尽量做到思维缜密,逻辑清晰,为了方便读者。 ⛳️座右铭:行百里者,半于九十。 本文内容如下: ⛳️赠与读者 ‍做科研,涉及到一个深在的思想系统,需要科研者逻辑缜密,踏实认真,但是不能只是努力,很多时候借力比努力更重要,然后还要有仰望星空的创新点和启发点。建议读者按...

【微电网优化调度】基于鳗鱼和石斑鱼优化算法(EGO)的微电网优化调度研究(Matlab代码实现)
文章 2025-09-13 来自:开发者社区

【创新未发表】【微电网多目标优化调度】基于五种多目标优化算法(MOGWO、MOLPB、MOJS、NSGA3、MOPSO)求解微电网多目标优化调度研究(Matlab代码实现)

  欢迎来到本博客❤️❤️ 博主优势:博客内容尽量做到思维缜密,逻辑清晰,为了方便读者。 ⛳️座右铭:行百里者,半于九十。 本文内容如下: ⛳️赠与读者 ‍做科研,涉及到一个深在的思想系统,需要科研者逻辑缜密,踏实认真,但是不能只是努力,很多时候借力比努力更重要,然后还要有仰望星空的创新点和启发点。建议读者按...

【创新未发表】【微电网多目标优化调度】基于五种多目标优化算法(MOGWO、MOLPB、MOJS、NSGA3、MOPSO)求解微电网多目标优化调度研究(Matlab代码实现)
文章 2025-09-12 来自:开发者社区

【微电网优化调度】五种多目标优化算法(MSSA、MOAHA、MOPSO、NSGA3、NSGA2)求解微电网多目标优化调度研究【创新未发表】(Matlab代码实现)

  欢迎来到本博客❤️❤️ 博主优势:博客内容尽量做到思维缜密,逻辑清晰,为了方便读者。 ⛳️座右铭:行百里者,半于九十。 本文内容如下: ⛳️赠与读者 ‍做科研,涉及到一个深在的思想系统,需要科研者逻辑缜密,踏实认真,但是不能只是努力,很多时候借力比努力更重要,然后还要有仰望星空的创新点和启发点。建议读者按...

【微电网优化调度】五种多目标优化算法(MSSA、MOAHA、MOPSO、NSGA3、NSGA2)求解微电网多目标优化调度研究【创新未发表】(Matlab代码实现)
文章 2025-09-12 来自:开发者社区

【微电网优化调度】五种多目标优化算法(MOPSO、MOAHA、NSGA2、NSGA3、MOGWO)求解微电网多目标优化调度比较研究【创新未发表】(Matlab代码实现)

  欢迎来到本博客❤️❤️ 博主优势:博客内容尽量做到思维缜密,逻辑清晰,为了方便读者。 ⛳️座右铭:行百里者,半于九十。 本文内容如下: ⛳️赠与读者 ‍做科研,涉及到一个深在的思想系统,需要科研者逻辑缜密,踏实认真,但是不能只是努力,很多时候借力比努力更重要,然后还要有仰望星空的创新点和启发点。建议读者按...

【微电网优化调度】五种多目标优化算法(MOPSO、MOAHA、NSGA2、NSGA3、MOGWO)求解微电网多目标优化调度比较研究【创新未发表】(Matlab代码实现)
文章 2023-08-07 来自:开发者社区

【经济调度】基于多目标宇宙优化算法优化人工神经网络环境经济调度研究(Matlab代码实现)

1 概述基于多目标宇宙优化算法(Multi-Objective Universe Optimization Algorithm, MOUA)优化人工神经网络环境经济调度是一种用于解决环境经济调度问题的研究方法。它结合了多目标优化和人工神经网络技术,旨在寻找一组最优解来平衡经济效益和环境影响。环境经济调度是指在环境保护和经济效益之间进行权衡和调整,以实现可持续发展的目标。在这个问题中,我们需要考虑....

【经济调度】基于多目标宇宙优化算法优化人工神经网络环境经济调度研究(Matlab代码实现)
文章 2023-08-02 来自:开发者社区

【微电网调度】考虑需求响应的基于改进多目标灰狼算法的微电网优化调度研究(Matlab代码实现)

1 概述如今,多目标优化技术广泛应用于:机械工程、土木工程和化工等研究领域。早期的多目标随机优化算法多为单目标优化算法转化而来,例如:SPEA[7]、NSGA-Ⅱ[8]、MOPSO[9]和 MOEA/D[10]等应用广泛的优化算法。文献[11]提出了一种基于灰狼优化 算 法 (GWO) 提 出 的 多 目 标 灰 狼 优 化 算 法 (MOGWO),该算法具有收敛快、实现简单的特点,并且在多目标....

【微电网调度】考虑需求响应的基于改进多目标灰狼算法的微电网优化调度研究(Matlab代码实现)
文章 2023-07-29 来自:开发者社区

【优化调度】基于改进遗传算法的公交车调度排班优化的研究与实现(Matlab代码实现)

1 概述本文对当前公交企业调度系统进行了分析,建立了公交排班的数学模型。本文基于数据挖掘分析的结果上,使用截面客流量数据对模型进行约束,得出了公交客流出行的空间分布规律。再以发车间隔为决策变量,以发车最大间隔、最小发车间隔和车辆满载率为约束条件,建立公交线路排班的数学模型,以公交公司发车成本最小和乘客等车时间成本最小为目标,建立双目标函数的数学模型。本文设计了一种基于改进的遗传算法公交排班调度优....

【优化调度】基于改进遗传算法的公交车调度排班优化的研究与实现(Matlab代码实现)

本页面内关键词为智能算法引擎基于机器学习所生成,如有任何问题,可在页面下方点击"联系我们"与我们沟通。

产品推荐

智能引擎技术

AI Online Serving,阿里巴巴集团搜推广算法与工程技术的大本营,大数据深度学习时代的创新主场。

+关注