文章 2025-09-14 来自:开发者社区

【能量算子】评估 EEG 中的瞬时能量:非负、频率加权能量算子(Python&Matlab代码实现)

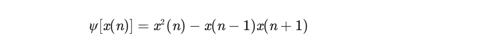
欢迎来到本博客❤️❤️ 博主优势:博客内容尽量做到思维缜密,逻辑清晰,为了方便读者。 ⛳️座右铭:行百里者,半于九十。 本文目录如下: 1 概述 瞬时能量的信号处理测量通常只包括幅度信息。但是,包括幅度和频率的测量在评估系统产生信号所需的能量方面做得更好,这使得它们成为更敏感的测量,可以包含在脑电图(EEG)分析中。Teager-Kaise...

【能量算子】评估 EEG 中的瞬时能量:非负、频率加权能量算子(Python&Matlab代码实现)
文章 2025-08-21 来自:开发者社区

【CNN-BiLSTM-attention】基于高斯混合模型聚类的风电场短期功率预测方法(Python&matlab代码实现)

欢迎来到本博客❤️❤️ 博主优势:博客内容尽量做到思维缜密,逻辑清晰,为了方便读者。 ⛳️座右铭:行百里者,半于九十。 1 概述 编辑 随着风力发电的大...

【CNN-BiLSTM-attention】基于高斯混合模型聚类的风电场短期功率预测方法(Python&matlab代码实现)
文章 2024-10-16 来自:开发者社区

基于python-django的matlab护照识别网站系统

介绍 整个系统是基于Django做的一个网站 网站是主要的作用就是护照识别,护照图片识别,包括手工输入护照,和图片识别护照 护照识别使用的是matlab来做的,要运行这个系统首先要安装matlab2017,然后安装python版本的驱动 然后按照正常的django项目启动就可以 后台管理可以增删改查护照 系统运行截图 ...

基于python-django的matlab护照识别网站系统
文章 2024-08-05 来自:开发者社区

【Python】实现MATLAB中计算两个矩形相交面积的rectint函数

1 rectint函数 A 和 B 是一个思维向量 [x,y,width,height] area = rectint(A,B) 2 Python实现 class Rectangle: def __init__(self, x, y,w,h): self.x = x self.y = y self.width = w self...

【Python】实现MATLAB中计算两个矩形相交面积的rectint函数
文章 2024-07-03 来自:开发者社区

LabVIEW、Matlab与Python的比较:从多角度详解三大编程工具

LabVIEW、Matlab和Python是工程和科学领域中常用的编程工具,各具特色。本文将从开发效率、计算性能、应用场景、学习曲线、成本和社区支持等多个角度,详细比较这三者的优缺点,帮助读者选择最适合其项目需求的编程工具。 ...

LabVIEW、Matlab与Python的比较:从多角度详解三大编程工具
文章 2024-05-22 来自:开发者社区

Python中实现类似MATLAB的常用技巧

在Python中实现类似MATLAB的常用技巧,主要依赖于NumPy、SciPy、Matplotlib等库。以下是一些常用的技巧和最佳实践: 1. 矩阵和数组操作:   - 使用NumPy进行高效的矩阵运算。例如,利用广播机制进行数组间的算术运算,使用`np.dot`或`@`操作符进行矩阵乘法等。   - 利用NumPy的`np.lina...

文章 2024-05-22 来自:开发者社区

Python的MATLAB使用

       Python和MATLAB是两种不同的编程语言,它们各自拥有不同的生态系统和库。然而,你可以在Python中使用一些方法来实现与MATLAB类似的功能。以下是一些方法和库,可以帮助你在Python中实现MATLAB风格的编程: 1. NumPy: NumPy是Python中用于科学计算的基础库,它提供了大量的矩阵和数组操作功...

文章 2024-05-17 来自:开发者社区

matlab疲劳驾驶检测项目,Python高级面试framework

正文 ‘starting code’ ans = ‘Reading webcam video’ ans = ‘Drowsiness detected’ 不疲劳的话就没有什么提示 drowsiness_detection ans = ‘starting code’ ans = ‘Read...

matlab疲劳驾驶检测项目,Python高级面试framework
文章 2024-05-11 来自:开发者社区

LabVIEW使用Python MathWorks® MATLAB®软件和C/C++

LabVIEW使用Python MathWorks® MATLAB®软件和C/C++ LabVIEW与其他编程语言的集成对于构建测试系统的工程师来说是一项非常实用的功能。将Python、MathWorksMATLAB软件、C/C++和.NET等编程语言与LabVIEW的图形化数据流相结合,能够集各语言之所长,在更短的时间内构建灵活的测试系统。 从LabVIEW...

LabVIEW使用Python MathWorks® MATLAB®软件和C/C++
文章 2024-04-28 来自:开发者社区

Python、MATLAB股票投资:ARIMA模型最优的选股、投资组合方案与预测

我们需要完成以下问题 问题一:投资者购买目标指数中的资产,如果购买全部,从理论上讲能够完美跟踪指数,但是当指数成分股较多时,购买所有资产的成本过于高昂,同时也需要很高的管理成本,在实际中一般不可行。 (1)在附件数据的分析和处理的过程中,请对缺损数据进行补全。 (2)投资者购买成分股时,过多过少都不太合理。对于附件的成分股数据, 通过建立模型,给出合理选股方案和投...

Python、MATLAB股票投资:ARIMA模型最优的选股、投资组合方案与预测

本页面内关键词为智能算法引擎基于机器学习所生成,如有任何问题,可在页面下方点击"联系我们"与我们沟通。

产品推荐

Python学习站

Python学习资料大全,包含Python编程学习、实战案例分享、开发者必知词条等内容。

+关注
相关镜像