问答 2021-12-13 来自:开发者社区

Serverless中同步调用和异步调用的并发限制分别是什么呢?

Serverless中同步调用和异步调用的并发限制分别是什么呢?

问答 2021-12-13 来自:开发者社区

Serverless中的并发限制是什么呢?

Serverless中的并发限制是什么呢?

问答 2021-12-13 来自:开发者社区

Serverless中的函数并发量是什么呢?

Serverless中的函数并发量是什么呢?

问答 2021-12-11 来自:开发者社区

serverless的并发执行是什么呀?

serverless的并发执行是什么呀?

问答 2021-10-01 来自:开发者社区

函数计算FC服务Python语言何时能支持并发?

在查看函数计算FC文档时,发现了如下声明: 注意 Python语言不支持设置实例并发度。 请问阿里云研发人员打算何时也让Python语言也支持并发?

文章 2021-09-12 来自:开发者社区

那些必须要了解的Serverless时代的并发神器-Rust语言Tokio框架基础

今天我们继续高并发的话题,传统的云计算技术,本质上都是基于虚拟机的,云平台可以将一些性能强劲的物理服务器,拆分成若干个虚拟机,提供给用户使用,但在互联网发展到今天,虚拟机还是太重了。即使是飞天集群,新增部署虚拟机的时间也是以分钟来计的。但是对于互联网用户来讲20秒的等等就是就会千万50%以上的用户流失,不能忍受的煎熬,因此Docker秒级启动的速度也不是个完美的解决方案,最终还是要Serverl....

那些必须要了解的Serverless时代的并发神器-Rust语言Tokio框架基础
问答 2021-03-23 来自:开发者社区

函数计算新版本发布后,业务量迅速扩张,并发度即将到达并发度限制怎么定位问题?

函数计算新版本发布后,业务量迅速扩张,并发度即将到达并发度限制怎么定位问题?

问答 2020-03-27 来自:开发者社区

函数计算一个用户下的最大并发度只有100,所以我构建的服务每秒最多只能处理100个请求?

函数计算一个用户下的最大并发度只有100,所以我构建的服务每秒最多只能处理100个请求?

文章 2018-09-06 来自:开发者社区

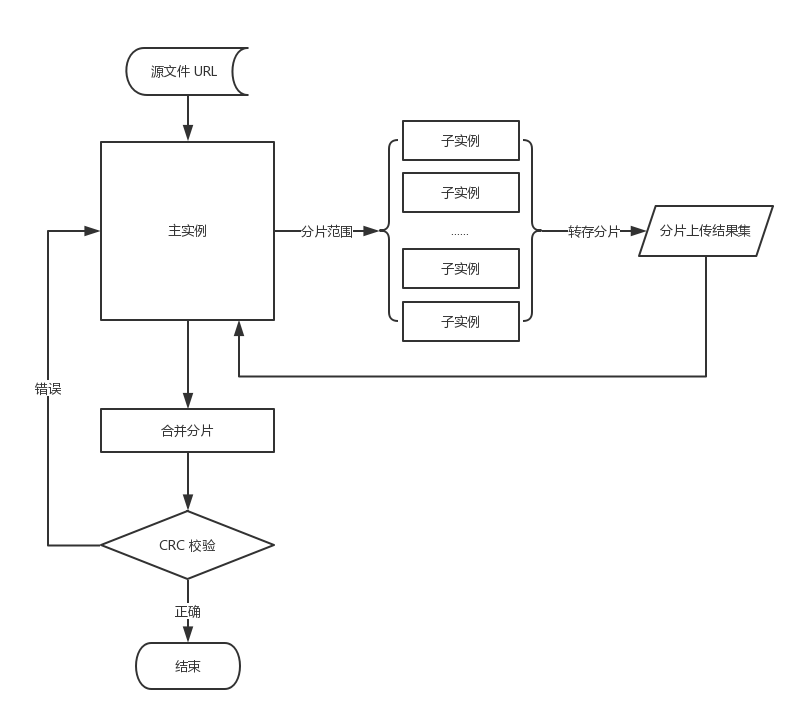
利用函数计算多实例并发实现秒级转存超大文件

场景 从指定 URL 下载文件,并将其转存到指定的 OSS Bucket 中。 问题难点 文件非常大,可能有几个 G 甚至十几 G。 转存速度要快,转存时间要控制在秒级。 需要走公网。 以往的实现方法 1. 利用服务器转存 在 ECS 实例上多进程流式下载、流式上传。 缺点: 需要人工操作、人工监控,消耗人力。 无意义地重复工作,无法处理同时的大量请求,也无法集成事件源。 价格昂贵。 带宽...

利用函数计算多实例并发实现秒级转存超大文件

本页面内关键词为智能算法引擎基于机器学习所生成,如有任何问题,可在页面下方点击"联系我们"与我们沟通。

产品推荐

阿里云 Serverless

阿里云 Serverless 最新技术内容分享

+关注