文章 2022-05-03 来自:开发者社区

leetcode算法125.验证回文串

一、leetcode算法1、验证回文串1.1、题目给定一个字符串,验证它是否是回文串,只考虑字母和数字字符,可以忽略字母的大小写。说明:本题中,我们将空字符串定义为有效的回文串。示例 1:输入: “A man, a plan, a canal: Panama”输出: true解释:“amanaplanacanalpanama” 是回文串示例 2:输入: “race a car”输出: false....

leetcode算法125.验证回文串
文章 2022-04-29 来自:开发者社区

ACM 选手图解 LeetCode 验证二叉搜索树

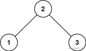
大家好呀,我是搜索蛋。今天解决验证二叉搜索树,通过这道题,我们来看如何证明一棵二叉树是二叉搜索树。碰到这种问题不要慌,从二叉搜索树性质入手,保准可以找到解决办法。下面让我们一起来解决掉它!   LeetCode 98:验证二叉搜索树题意给你一个二叉树的根节点 root,判断其是否是一个有效的二叉搜索树。示例输入:root = [2,1,3]输出:true提示树中节点数目范围在....

ACM 选手图解 LeetCode 验证二叉搜索树
文章 2022-04-28 来自:开发者社区

【Leetcode680】验证回文字符串 II(贪心算法)

一、题目二、思路审题看清楚,,题目问的不是回文子串,不是子串!!!暴力解法会超时,可以使用双指针:如果当前左右指针指向的元素不相等,可以试着判断删除掉左元素或者右元素后的字符串是否为回文字符串,注意此时i左边和j右边是已经判断完了(再重复一次!判断的不是回文子串);如果当前左右指针指向的元素相等,则左指针向右一格,右指针向左一格。每次两指针表示的字符判断相等,则该部分就符合回文串,贪心思想。注意....

【Leetcode680】验证回文字符串 II(贪心算法)
文章 2022-04-28 来自:开发者社区

【LeetCode125、557】验证回文串、反转字符串中的单词III

一、题目一二、思路C++中和字符判断有关的内置函数:简单题,处理后反转字符串,判断和原字符串是否相同。isalnum判断是否为字母或者数字,如果不知道api就写判断条件;tolower是将char字符转为小写字母。三、代码class Solution { public: bool isPalindrome(string s) { string temp; ...

【LeetCode125、557】验证回文串、反转字符串中的单词III
文章 2022-04-28 来自:开发者社区

【LeetCode946】验证栈序列(栈的模拟)

一、题目提示:1 <= pushed.length <= 10000 <= pushed[i] <= 1000pushed 的所有元素 互不相同popped.length == pushed.lengthpopped 是 pushed 的一个排列二、思路利用一个栈,空间复杂度为O(n),根据入栈顺序,模拟出栈的过程,主要判断条件popped[t] == stk.top()....

【LeetCode946】验证栈序列(栈的模拟)
文章 2022-04-27 来自:开发者社区

LeetCode 数据结构与算法之验证二叉搜索树

题目验证二叉搜索树给你一个二叉树的根节点 root ,判断其是否是一个有效的二叉搜索树。有效 二叉搜索树定义如下:节点的左子树只包含 小于 当前节点的数。节点的右子树只包含 大于 当前节点的数。所有左子树和右子树自身必须也是二叉搜索树。示例 1:网络异常,图片无法展示|输入:root = [2,1,3] 输出:true示例 2:网络异常,图片无法展示|输入:root = [5,1,4,null,....

LeetCode 数据结构与算法之验证二叉搜索树
文章 2022-04-25 来自:开发者社区

☆打卡算法☆LeetCode 125. 验证回文串 算法解析

一、题目1、算法题目“给定一个字符串,验证它是否是回文串。”题目链接:来源:力扣(LeetCode)链接: &nbsp;125. 验证回文串2、题目描述给定一个字符串,验证它是否是回文串,只考虑字母和数字字符,可以忽略字母的大小写。说明: 本题中,我们将空字符串定义为有效的回文串。示例 1: 输入: "A man, a plan, a canal: Panama" 输出: true 解释: "a....

☆打卡算法☆LeetCode 125. 验证回文串 算法解析
文章 2022-04-25 来自:开发者社区

[路飞]_leetcode-946-验证栈序列

网络异常,图片无法展示|[题目地址][B站地址]给定 pushed 和 popped 两个序列,每个序列中的 值都不重复,只有当它们可能是在最初空栈上进行的推入 push 和弹出 pop 操作序列的结果时,返回 true;否则,返回 false 。示例 1:输入: pushed = [1,2,3,4,5], popped = [4,5,3,2,1] 输出: true 解释: 我们可以按以下顺序执....

[路飞]_leetcode-946-验证栈序列
文章 2022-04-25 来自:开发者社区

[路飞]_leetcode-331-验证二叉树的前序序列化

网络异常,图片无法展示|「这是我参与11月更文挑战的第19天,活动详情查看:2021最后一次更文挑战」[题目地址][B站地址]序列化二叉树的一种方法是使用前序遍历。当我们遇到一个非空节点时,我们可以记录下这个节点的值。如果它是一个空节点,我们可以使用一个标记值记录,例如 #。_9_ / \ 3 2 / \ / \ 4 1 # 6 / \ / \ /...

[路飞]_leetcode-331-验证二叉树的前序序列化
文章 2022-04-20 来自:开发者社区

【LeetCode98】验证二叉搜索树(medium)

1.题目2.思路二叉排序树的定义中注意不是左孩子小于当前结点,而是左子树上的所有结点值都小于当前结点,因此在递归遍历二叉树的同时需要保存结点权值的上界和下界——实现比较时不止比较子结点的值,也要与上下界比较。递归左孩子时:将当前结点的值作为上界,下界不变;递归右孩子时:将当前结点的值作为下界,上界不变——这里也可以想象一下,根结点的左孩子的右孩子结点的上界仍旧是根结点,而非根结点的左孩子,如下图....

【LeetCode98】验证二叉搜索树(medium)

本页面内关键词为智能算法引擎基于机器学习所生成,如有任何问题,可在页面下方点击"联系我们"与我们沟通。

算法编程

开发者社区在线编程频道官方技术圈。包含算法资源更新,周赛动态,每日一题互动。

+关注