文章 2018-07-24 来自:开发者社区

DNS服务-主从架构搭建

为了网站的可靠性,通常都会有多个DNS服务器,万一DNS服务器宕机了,可以实现DNS服务器容错 通常都会有一个主DNS服务器,后面配若干个辅助DNS服务器,这个主DNS服务器的数据库会同步给其他的DNS服务器,这个就叫主从架构 下面演示主从架构的搭建 ↓ ↓ ↓ 环境 最少三台主机 同样和前几篇一样,7主、17从、16客户机 我们在17主机上安装DNS服务包 安装就不说了,前面有,下面直接改...

文章 2017-11-27 来自:开发者社区

MySQL(三):MHA实现MySQL主从架构中主服务器的高可用,zabbix完成manager重启

MHA(Master High Availability)是目前在MySQL高可用方面相对成熟的一个解决方案,MHA在监控到master节点故障时,会提升其中拥有最新数据的slave节点成为新的master节点,在此期间,MHA会通过于其它从节点获取额外信息来避免一致性方面的问题。MHA还提供了master节点的在线切换功能。 MHA 服务有两种角色,MHA Manager(管理节点)和 MH.....

文章 2017-11-22 来自:开发者社区

redis的shell安装脚本,实现在linux下本机主从架构

1 2 3 4 5 6 7 8 9 10 11 12 13 14 15 16 17 18 19 20 21 22 23 24 25 26 27 28 29 30 31 32 33 34 35 36 #!/bin/bash # create by lihuibin # date 2014-04-15 # desc install redis basedir=`pwd` homepath...

redis的shell安装脚本,实现在linux下本机主从架构
文章 2017-11-15 来自:开发者社区

MySQL高性能主从架构的复制原理及配置详解

                         MySQL Replication mysql的复制: 1:复制是什么?   复制是一种能力,将MySQL的数据分布到多个系统上去,这种分布的机制,是通过将MySQL的某一台主机的数据COPY到其它主机上, 并...

文章 2017-11-15 来自:开发者社区

mysql高可用方案之主从架构(master-slave)

     mysql主从在目前企业中很常见的方案之一,主是将DML,DDL,DML语句用mysql dump进程将二进制日志记录,从是用thread_io线程读取主上的制日志存放中继日志中,再用thread_sql线程读取中继日志将数据写入到数据库,实现数据同步. mysql dba技术群 378190849 武汉-linux运维群 236415619 &n...

文章 2017-11-15 来自:开发者社区

使用MHA对mysql主从架构中的主节点做高可用

MHA:Master HA(主从结构的高可用方案)只是实现了对主节点高可用,它是建构在mysql主从复制结构之上的,也就是说需要事先把mysq配置成传统的复制集群。 MHA在监控到master节点故障时,会提升其中拥有最新数据的slave节点称为新的master,在此期间,MHA会通过其它从节点获取额外信息来避免一致性方面的问题。MHA还提供了master节点在线切换的功能,即按需切换maste....

使用MHA对mysql主从架构中的主节点做高可用
文章 2017-11-14 来自:开发者社区

mysql主主互备+原来mysql主从架构

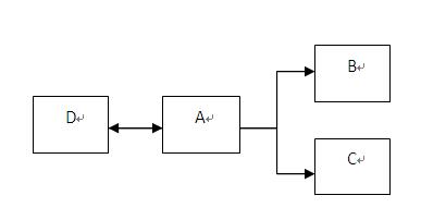
接http://wsw26.blog.51cto.com/1442148/1749125我这个A已做了BC的主架构上增加一台D的虚拟机(同一个环境),我的目的是D和A主主互备,BC继续做A的从,既是D<-->A-->BC这样架构(类似级联的) 准备工作:(1)D的IP是192.168.0.190,A的IP是192.168.0.8,B的IP是192.168.0.140,C的I...

mysql主主互备+原来mysql主从架构
文章 2017-11-13 来自:开发者社区

DNS服务解析,如何用bind构建主从架构的DNS服务器。

DNS(Domain Name System,域名系统)         在互联网上实现FQDN与IP地址的解析,这样避免了人们在访问站点时,记忆长串难懂的ip地址,只需要记忆人们容易理解的域名就行了。         ...

DNS服务解析,如何用bind构建主从架构的DNS服务器。
文章 2017-11-12 来自:开发者社区

从oracle到mysql,主从到分库,一个普通项目数据库架构的变迁

为了节约成本,也是为了顺应去IOE这个大时代的发展,项目的数据库从最初的Oracle切到了MySQL。 开始切到MySQL的时候项目才上线时间不长,当时数据不多,而且当时预计在较长一段时间内数据也不会发生爆炸式的变化,考虑到大部分是读的请求所以考虑用主从架构。 注:存储引擎用的是InnoDB,当时主要是考虑事物的需求,其实在选择存储引擎的时候没有特殊需求都应该选择InnoDB,关于InnoDB和....

从oracle到mysql,主从到分库,一个普通项目数据库架构的变迁
文章 2017-11-12 来自:开发者社区

mysql-proxy主从服务架构下读写分离和负载均衡实现及原理

假设已经配置好mysql的主从架构 主服务器:192.168.3.189 从服务器:192.168.3.104 我们的目的就是实现读取操作由192.168.3.104服务器响应,写的操作由192.168.3.189响应 首先安装mysql-proxy 1、从mysql官网上下载最新版的mysql-proxy:http://dev.mysql.com/downloads/mysql-proxy/.....

本页面内关键词为智能算法引擎基于机器学习所生成,如有任何问题,可在页面下方点击"联系我们"与我们沟通。

产品推荐

金融级分布式架构

SOFAStack™(Scalable Open Financial Architecture Stack)是一套用于快速构建金融级分布式架构的中间件,也是在金融场景里锤炼出来的最佳实践。

+关注